Amr A.Yakout

. Author links open the author workspace.Ramadan H.El-Sokkaryb. Numbers and letters correspond to the affiliation list. Click to expose these in author workspace. Author links open the author workspace.Mohamed A.Shreadahc. Numbers and letters correspond to the affiliation list. Click to expose these in author workspace. Author links open the author workspace.Omnia G.Abdel Hamidc. Numbers and letters correspond to the affiliation list. Click to expose these in author workspaceOpens the author workspace

 

Department of Chemistry, Faculty of Science, University of Jeddah, Jeddah, Saudi Arabia
b
Chemistry Department, Faculty of Science, Alexandria University, Alexandria, Egypt
c
National Institute of Oceanography and Fisheries, Alexandria, Egypt

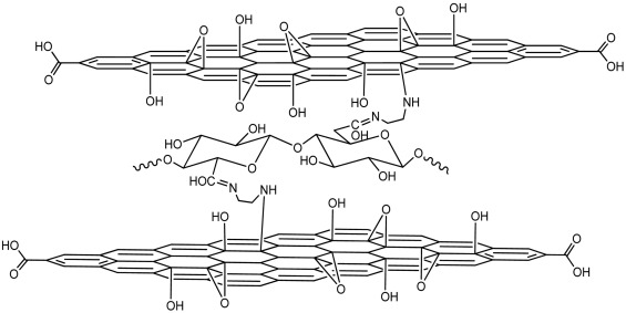
We have studied the extraction of Cu(II) and Pb(II) ions from different types of aqueous solution by novel cross-linked graphene oxide sheets by modified extracted cellulose. The novel sorbent cellulose was extracted from the mangrove trees (Avicennia marina) and it was then grafted with acrylamide and immobilized by ethylenediamine for cross-linking process. The cross-linked graphene oxide sheets were identified by means of FT-IR, SEM and XRD. The adsorption studies of synthesized sorbent was optimized. Langmuir and Freundlich models were used for establish sorption equilibria. The cross-linked graphene oxide sheets showed maximum adsorption capacity 46.39 and 186.48 mg g−1 for Cu(II) and Pb(II), respectively. The potential applications of this sorbent was applied to remove Cu(II) and Pb(II) metal ions from hard water samples by using a multi-stage micro-column technique.

Keywords

Mangrove trees
Ethylenediamine
Grafted copolymer
Graphene oxide
Adsorption